Intro

Aidin Biibosunov

A bit about myself

my_photo.jpg

  1. B.Sc. (Бакалавр) in Physics (Quantum Chemistry)
  2. M.Sc. (Магистр) in Mathematics (Biomathematics)
  3. Currently at Differentia Bio (Mathematical modeling of Immunology)
  4. Заманбап Мугалим программасынын катышуучусу

logos_annotated.png

A bit about myself

qr_myblog.png

Work projects (classical ML)

work_microbiology.png

Work projects (classical ML)

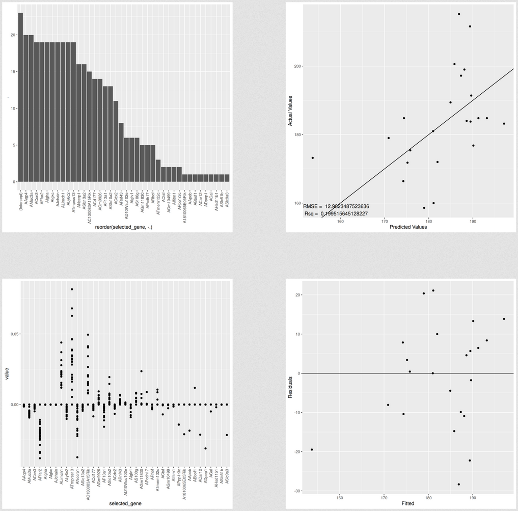
  • Goal: for a given variable determine
    the important genes
  • Issue: small dataset (#genes \(\gg\) #samples)
    high dimensional data
  • Approach: determine the most frequent genes which were selected by many trained models(CV)

Work projects (classical ML)

Example for one variable

  1. Train several (= #mice) generalized linear models (GLMs)
  2. For each trained model predict the value of the left out sample
  3. Count the selected genes (with nonzero coefficients)

Selecting a GLM model

  • \(\min_{(\beta_0, \beta) \in \mathbb{R}^{p+1}}\frac{1}{2N} \sum_{i=1}^N (y_i -\beta_0-x_i^T \beta)^2+\lambda \left[ (1-\alpha)\|\beta\|_2^2/2 + \alpha\|\beta\|_1\right]\)
  • To choose \(\alpha\) select the one with the best predictions (step 0.1)
  • To choose best \(\lambda\) do another CV with parameter nfolds (\(\alpha\) is fixed)

Selecting a GLM model

work_microbiology_plots.png

Work projects (Deep Learning)

Work projects (Deep Learning)

work_thesis_sampling.png

Work projects (Modeling of immune system)

work_igg4_graph.png

Logistics

  • Syllabus, calendar, materials(website), communacation(telegram), google collab
  • IMPORTANT: don't be afraid or shy to ask questions!

Advice

  • You learn by doing. Can’t passively absorb the skill to code
  • Play with the code. Experiment! Active learning!
  • Do not be afraid to make mistakes!
  • If you run into problems, try to think about what went wrong
  • Google, StackOverflow, ChatGPT(LLMs) are your friends
  • If you find yourself truly stuck, feel free to contact the team

Advice

PRACTICE. PRACTICE? PRACTICE!

Why learn to code when there are LLMs?

  • Still need to understand code. Skills to assess & edit. Does it make sense? Is it optimal? How to improve?
  • Analogy with a calculator: don't need to do the calculations yourself, yet need to understand what's happening(mechanism) and the answer
  • I myself use LLMs. But it has little use if you don't understand the answer
  • Treat it as a personal assistant. It can help you with your studies!
    • Pros - you can get your questions answered
    • Cons - it can be confidently wrong!

Why learn to code when there are LLMs?

programmerhumor-io-programming-memes-cbb835f1e44019d.jpg

Intro to DS

9d4e7873-7fb2-4ee5-9719-cbd7fa718a0a.jpg